¿Qué es el Yield Value?
Es una cantidad medible similar a la viscosidad, pero independiente de ésta. Puede ser considerado como la resistencia inicial al flujo bajo estrés, por lo tanto, también se le conoce como Yield stress. Los geles hechos con el polímero Carbopol muestran un yield value que les permite ser útiles en una variedad de aplicaciones.
¿Qué hace el Yield Value?
Es una propiedad crítica para lograr ciertas características físicas, tales como:
- Suspensión. Las partículas dispersas en un medio permanecerán suspendidas si el yield value del medio es suficiente para vencer el efecto de la gravedad o flotación en dichas partículas. En una etiqueta, la frase “Agite bien antes de usarse” se puede interpretar como “Necesita un mayor yield value”.
- Emulsión. Con el yield value, se puede evitar que incrementen las gotitas de líquido insoluble y se unan.
- Espuma. Las burbujas de gas también pueden estar suspendidas y distribuidas uniformemente en un medio líquido utilizando yield value como una herramienta de formulación
- Superficie adherida. Con un yield value suficiente, el líquido gelificado no goteará ni escurrirá por una superficie vertical.
¿Cómo se determina el Yield Value?
La manera más común para medir el yield value es el método de extrapolación en yield value Brookfield (BYV). Se utiliza un viscosímetro RVT de Brookfield para medir el torque necesario para que rote una aguja a través de una muestra líquida a velocidades de 0.5 a 100 rpm. Multiplicando la lectura del torque por la constante apropiada para la aguja y la velocidad se obtiene la viscosidad aparente. La velocidad de la aguja corresponde a la velocidad de corte. El yield value es una extrapolación de los valores medidos a una velocidad de corte de cero. El BYV puede calcularse mediante lo siguiente:

El yield value (esfuerzo) se puede determinar utilizando un reómetro de cono y plato. El esfuerzo de corte se mide como función de la velocidad de corte. La curva resultante corresponde a lo que se le conoce como Modelo Reológico de Casson:

¿Cómo se diferencia la viscosidad del Yield Value?
Las suspensiones viscosas pueden y van a colapsar si sólo se atiende la viscosidad y no el yield value. Es un error común pensar que, si la viscosidad de un producto es lo suficientemente alta, se puede usar para suspender. De hecho, una viscosidad más alta únicamente disminuye la velocidad del movimiento de las partículas. El yield value se necesita para crear una suspensión estable.
La Tabla I demuestra la relación entre el yield value de una suspensión de arena y la capacidad de suspensión.
Se colocó arena de sílice con un diámetro promedio de partículas de 0.6 mm en geles hechos de varios tipos de espesantes a diferentes concentraciones. Los datos sugieren que se requiere un valor crítico de YVB entre 90 y 124 para producir una suspensión estable de arena. Esto claramente demuestra que el yield value, no la viscosidad, es el factor influyente en el desempeño de la suspensión.
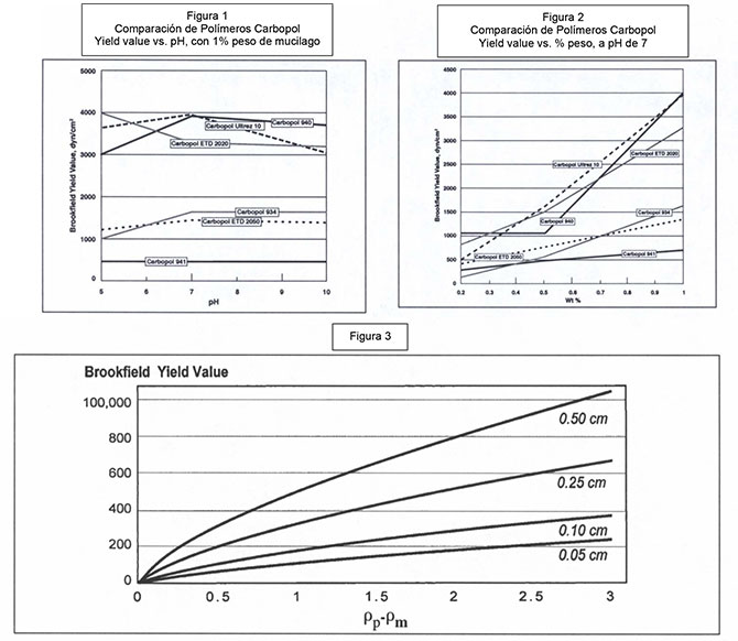
¿Cómo se comparan los Polímeros de Carbopol en Yield Value?
Se puede ver a continuación en la Figura 1 que cada uno de los polímeros mantiene un yield value útil en todo el rango de pH de uso más común. Se diferencian en sus fortalezas relativas dependiendo del tipo y grado de entrecruzamiento. Los datos mostrados indican que los polímeros con un mayor grado de entrecruzamiento tienen valores relativos más altos, como los dados para Carbopol® 940. Aquellos con un menor grado de entrecruzamiento presentan valores relativos más bajos, como los dados para Carbopol® 941. La Figura 2 muestra la eficiencia del yield value de los polímeros Carbopol® ETD y Carbopol® Ultrez.
¿Qué factores comunes afectan el yield value?
El yield value logrado con polímeros Carbopol® puede cambiarse agregando materiales que afecten el hinchamiento del polímero. Algunos materiales que pueden causar un cambio en el hinchamiento del polímero son los alcoholes, polioles y cationes. Cada uno de esos materiales puede tener el efecto de reducir el yield value del sistema.
El otro factor primario que afecta el yield value es la densidad del medio. En este caso, la disolución de otros polímeros, por ejemplo, polisacáridos, puede incrementar la densidad del medio y disminuir el yield value requerido. Algunos sistemas pueden tener interacciones más complejas de estos dos efectos.


¿Es posible predecir el Yield Value para un sistema?
Se puede obtener una aproximación simple del yield value requerido para un sistema si se conoce la densidad del medio y el tamaño y la densidad de una partícula esférica supuesta:
